Официальное опубликование правовых актов
ОФИЦИАЛЬНОЕ ОПУБЛИКОВАНИЕ
Приказ Управления по охране объектов культурного наследия Калужской области от 28.06.2021 № 94
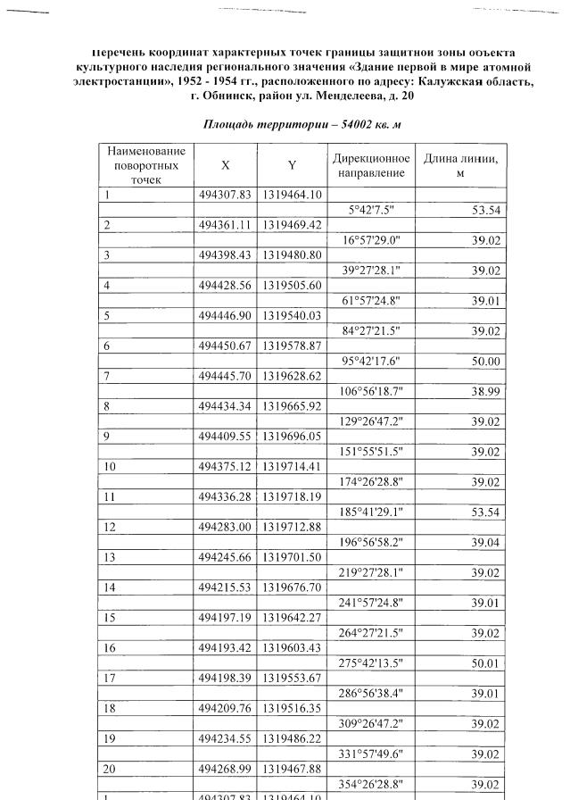
"Об утверждении графического описания местоположения границы и режима использования земель в границе защитной зоны объекта культурного наследия регионального значения "Здание первой в мире атомной электростанции", 1952 - 1954 гг., расположенного по адресу: Калужская область, г. Обнинск, район ул. Менделеева, д. 20"
(Зарегистрирован 05.07.2021 № 10738)
Номер опубликования: 4001202107080010
Дата опубликования: 08.07.2021
Страница №3 из 4:
Увеличить