Приказ Управления по охране объектов культурного наследия Калужской области от 28.06.2021 № 92
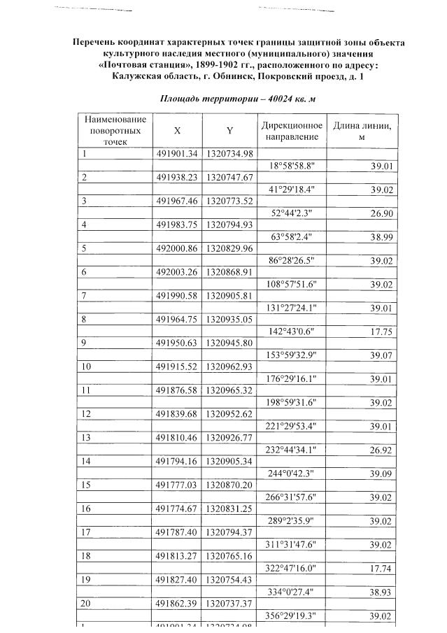
"Об утверждении графического описания местоположения границы и режима использования земель в границе защитной зоны объекта культурного наследия местного (муниципального) значения "Почтовая станция", 1899-1902 гг., расположенного по адресу: Калужская область, г. Обнинск, Покровский проезд, д. 1"
(Зарегистрирован 05.07.2021 № 10736)
"Об утверждении графического описания местоположения границы и режима использования земель в границе защитной зоны объекта культурного наследия местного (муниципального) значения "Почтовая станция", 1899-1902 гг., расположенного по адресу: Калужская область, г. Обнинск, Покровский проезд, д. 1"
(Зарегистрирован 05.07.2021 № 10736)
Номер опубликования: 4001202107080008
Дата опубликования:
08.07.2021
