Официальное опубликование правовых актов
ОФИЦИАЛЬНОЕ ОПУБЛИКОВАНИЕ
Приказ Управления по охране объектов культурного наследия Калужской области от 28.06.2021 № 93
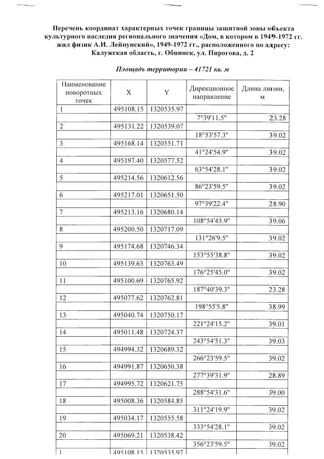
"Об утверждении графического описания местоположения границы и режима использования земель в границе защитной зоны объекта культурного наследия регионального значения "Дом, в котором в 1949-1972 гг. жил физик А.И. Лейпунский", 1949-1972 гг., расположенного по адресу: Калужская область, г. Обнинск, ул. Пирогова, д. 2"
(Зарегистрирован 05.07.2021 № 10737)
Номер опубликования: 4001202107080007
Дата опубликования: 08.07.2021
Страница №3 из 4:
Увеличить