Официальное опубликование правовых актов
ОФИЦИАЛЬНОЕ ОПУБЛИКОВАНИЕ
Приказ Управления по охране объектов культурного наследия Калужской области от 15.06.2021 № 79
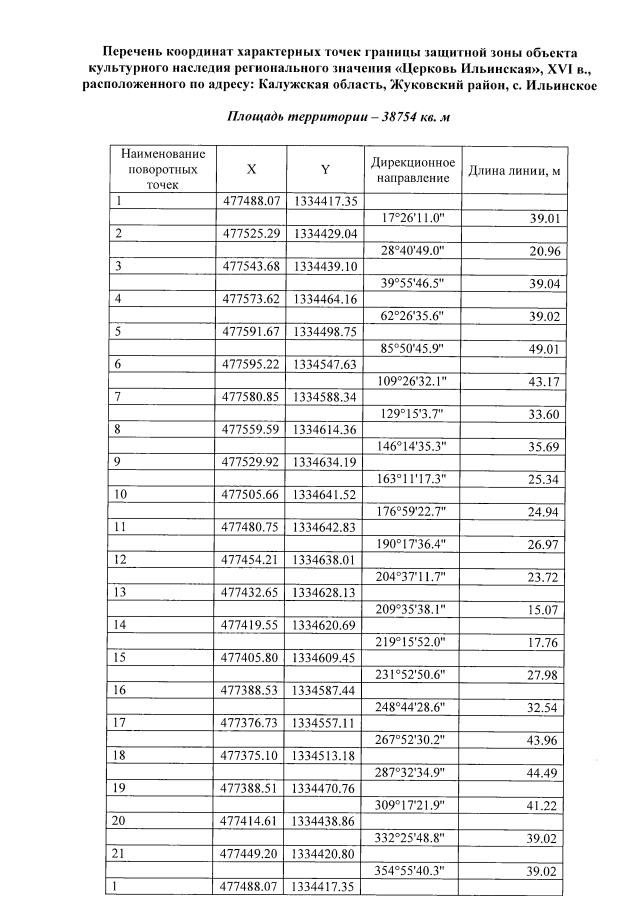
"Об утверждении графического описания местоположения границы и режима использования земель в границе защитной зоны объекта культурного наследия регионального значения "Церковь Ильинская", XVI в., расположенного по адресу: Калужская область, Жуковский район, с. Ильинское"
(Зарегистрирован 01.07.2021 № 10729)
Номер опубликования: 4001202107080002
Дата опубликования: 08.07.2021
Страница №3 из 4:
Увеличить