Приказ Управления по охране объектов культурного наследия Калужской области от 15.06.2021 № 83
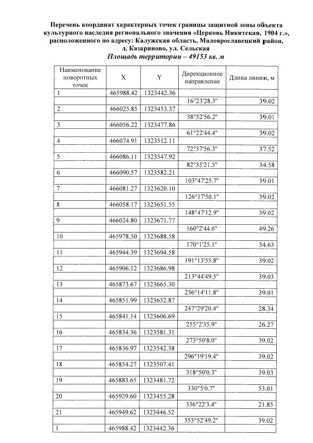
"Об утверждении графического описания местоположения границы и режима использования земель в границе защитной зоны объекта культурного наследия регионального значения "Церковь Никитская, 1904 г.", расположенного по адресу: Калужская область, Малоярославецкий район,д. Казариново, ул. Сельская"
(Зарегистрирован 01.07.2021 № 10730)
"Об утверждении графического описания местоположения границы и режима использования земель в границе защитной зоны объекта культурного наследия регионального значения "Церковь Никитская, 1904 г.", расположенного по адресу: Калужская область, Малоярославецкий район,д. Казариново, ул. Сельская"
(Зарегистрирован 01.07.2021 № 10730)
Номер опубликования: 4001202107080001
Дата опубликования:
08.07.2021
