Официальное опубликование правовых актов
ОФИЦИАЛЬНОЕ ОПУБЛИКОВАНИЕ
Приказ Управления по охране объектов культурного наследия Калужской области от 15.06.2021 № 87
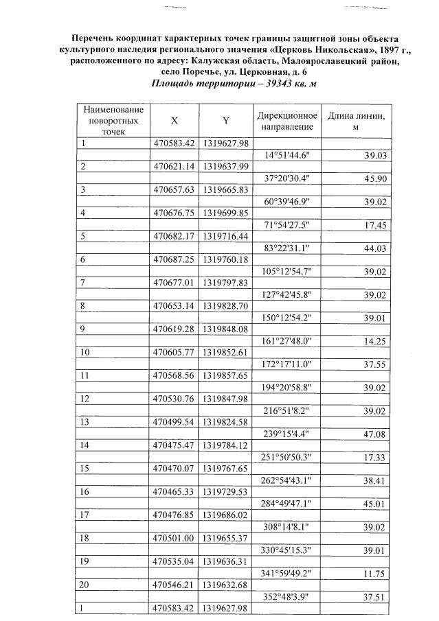
"Об утверждении графического описания местоположения границы и режима использования земель в границе защитной зоны объекта культурного наследия регионального значения "Церковь Никольская", 1897 г., расположенного по адресу: Калужская область, Малоярославецкий район, село Поречье, ул. Церковная, д. 6"
(Зарегистрирован 30.06.2021 № 10717)
Номер опубликования: 4001202107050011
Дата опубликования: 05.07.2021
Страница №3 из 4:
Увеличить