Официальное опубликование правовых актов
ОФИЦИАЛЬНОЕ ОПУБЛИКОВАНИЕ
Приказ Управления по охране объектов культурного наследия Калужской области от 15.06.2021 № 82
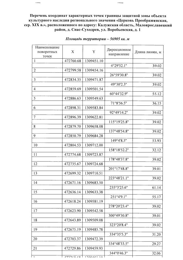
"Об утверждении графического описания местоположения границы и режима использования земель в границе защитной зоны объекта культурного наследия регионального значения "Церковь Преображенская, сер. XIX в.", расположенного по адресу: Калужская область, Малоярославецкий район, д. Спас-Суходрев, ул. Воробьевская, д. 1"
(Зарегистрирован 30.06.2021 № 10720)
Номер опубликования: 4001202107050006
Дата опубликования: 05.07.2021
Страница №3 из 4:
Увеличить