Официальное опубликование правовых актов
ОФИЦИАЛЬНОЕ ОПУБЛИКОВАНИЕ
Приказ Управления по охране объектов культурного наследия Калужской области от 15.06.2021 № 85
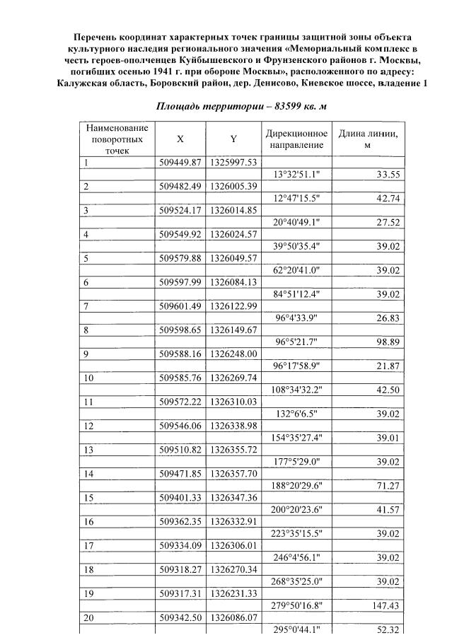
"Об утверждении графического описания местоположения границы и режима использования земель в границе защитной зоны объекта культурного наследия регионального значения "Мемориальный комплекс в честь героев-ополченцев Куйбышевского и Фрунзенского районов г. Москвы, погибших осенью 1941 г. при обороне Москвы", расположенного по адресу: Калужская область, Боровский район, дер. Денисово, Киевское шоссе, владение 1"
(Зарегистрирован 30.06.2021 № 10719)
Номер опубликования: 4001202107050005
Дата опубликования: 05.07.2021
Страница №3 из 5:
Увеличить