Официальное опубликование правовых актов
ОФИЦИАЛЬНОЕ ОПУБЛИКОВАНИЕ
Приказ Управления по охране объектов культурного наследия Калужской области от 15.06.2021 № 86
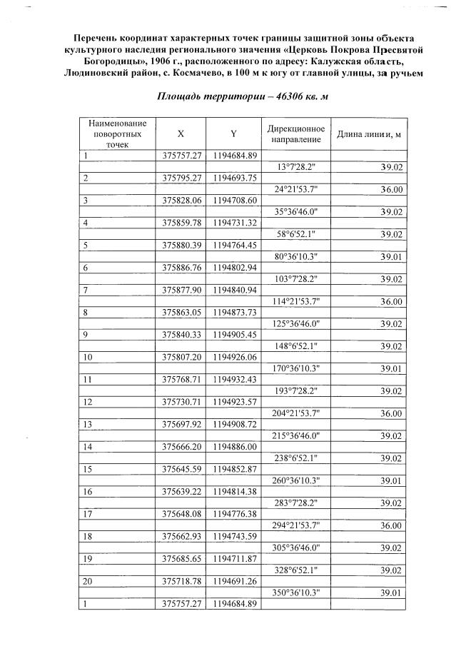
"Об утверждении графического описания местоположения границы и режима использования земель в границе защитной зоны объекта культурного наследия регионального значения "Церковь Покрова Пресвятой Богородицы", 1906 г., расположенного по адресу: Калужская область, Людиновский район, с. Космачево, в 100 м к югу от главной улицы, за ручьем"
(Зарегистрирован 30.06.2021 № 10718)
Номер опубликования: 4001202107050003
Дата опубликования: 05.07.2021
Страница №3 из 4:
Увеличить