Официальное опубликование правовых актов
ОФИЦИАЛЬНОЕ ОПУБЛИКОВАНИЕ
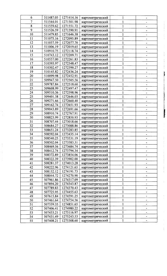
Приказ Министерства природных ресурсов и экологии Калужской области от 09.04.2021 № 361-21
"Об особо охраняемой природной территории регионального значения – памятнике природы "Р. Бычок с охранным ландшафтом на расстоянии 300 м в обе стороны от уреза воды"
(Зарегистрирован 20.04.2021 № 10594)
Номер опубликования: 4001202104230001
Дата опубликования: 23.04.2021
Страница №3 из 11:
Увеличить