Официальное опубликование правовых актов
ОФИЦИАЛЬНОЕ ОПУБЛИКОВАНИЕ
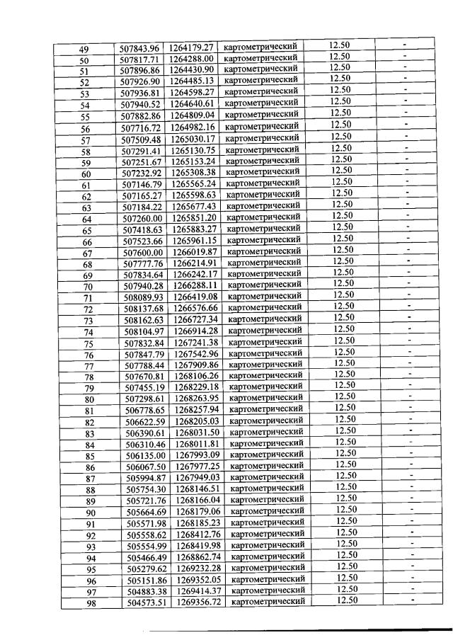
Приказ Министерства природных ресурсов и экологии Калужской области от 18.03.2021 № 250-21
"Об особо охраняемой природной территории регионального значения – памятнике природы "Р. Лужа с охранным ландшафтом по 400 м в обе стороны от уреза воды"
(Зарегистрирован 26.03.2021 № 10546)
Номер опубликования: 4001202103290001
Дата опубликования: 29.03.2021
Страница №4 из 18:
Увеличить