Официальное опубликование правовых актов
ОФИЦИАЛЬНОЕ ОПУБЛИКОВАНИЕ
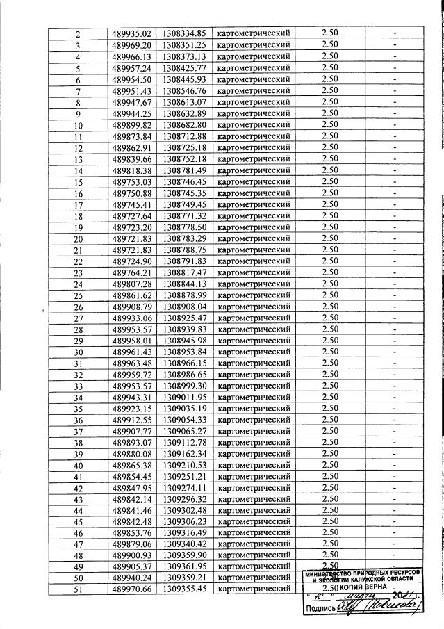
Приказ Министерства природных ресурсов и экологии Калужской области от 05.03.2021 № 202-21
"О реорганизации особо охраняемой природной территории регионального значения – памятника природы "Лесной массив "Бунина гора"
(Зарегистрирован 19.03.2021 № 10530)
Номер опубликования: 4001202103240006
Дата опубликования: 24.03.2021
Страница №3 из 28:
Увеличить