Официальное опубликование правовых актов
ОФИЦИАЛЬНОЕ ОПУБЛИКОВАНИЕ
Приказ Министерства природных ресурсов и экологии Калужской области от 11.12.2020 № 1700-20
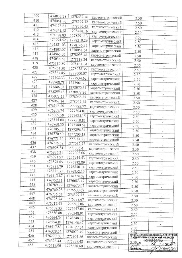
"О реорганизации особо охраняемой природной территории регионального значения – памятника природы "Р. Медынка с охранным ландшафтом на расстоянии 300 м в обе стороны от уреза воды"
(Зарегистрирован 18.12.2020 № 10232)
Номер опубликования: 4001202012220001
Дата опубликования: 22.12.2020
Страница №12 из 20:
Увеличить