Официальное опубликование правовых актов
ОФИЦИАЛЬНОЕ ОПУБЛИКОВАНИЕ
Приказ Управления по охране объектов культурного наследия Калужской области от 17.07.2020 № 164
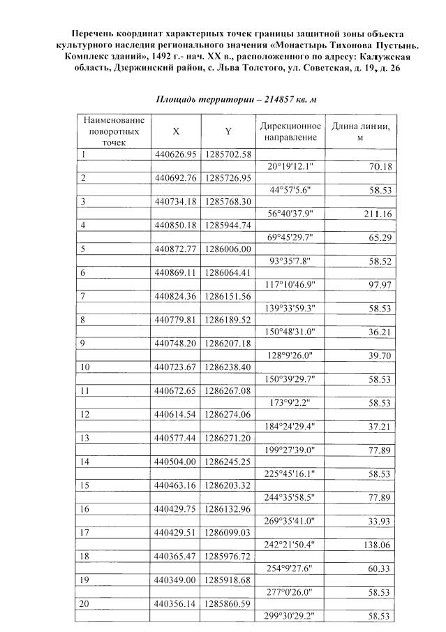
"Об утверждении графического описания местоположения границы и режима использования земель в границе защитной зоны объекта культурного наследия регионального значения "Монастырь Тихонова Пустынь. Комплекс зданий", 1492 г.- нач. XX в., расположенного по адресу: Калужская область, Дзержинский район, с. Льва Толстого, ул. Советская, д. 19, д. 26"
(Зарегистрирован 07.08.2020 № 9807)
Номер опубликования: 4001202008110015
Дата опубликования: 11.08.2020
Страница №3 из 5:
Увеличить