Приказ Управления по охране объектов культурного наследия Калужской области от 20.07.2020 № 168
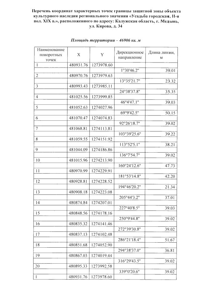
"Об утверждении графического описания местоположения границы и режима использования земель в границе защитной зоны объекта культурного наследия регионального значения "Усадьба городская, II-я пол. XIX в.", расположенного по адресу: Калужская область, г. Медынь, ул. Кирова, д. 34"
(Зарегистрирован 07.08.2020 № 9811)
"Об утверждении графического описания местоположения границы и режима использования земель в границе защитной зоны объекта культурного наследия регионального значения "Усадьба городская, II-я пол. XIX в.", расположенного по адресу: Калужская область, г. Медынь, ул. Кирова, д. 34"
(Зарегистрирован 07.08.2020 № 9811)
Номер опубликования: 4001202008110013
Дата опубликования:
11.08.2020
