Официальное опубликование правовых актов
ОФИЦИАЛЬНОЕ ОПУБЛИКОВАНИЕ
Приказ Управления по охране объектов культурного наследия Калужской области от 17.07.2020 № 163
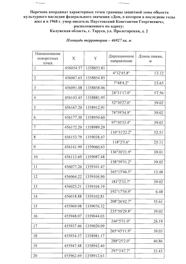
"Об утверждении графического описания местоположения границы и режима использования земель в границе защитной зоны объекта культурного наследия федерального значения "Дом, в котором в последние годы жил и в 1968 г. умер писатель Паустовский Константин Георгиевич", расположенного по адресу: Калужская область, г. Таруса, ул. Пролетарская, д. 2"
(Зарегистрирован 07.08.2020 № 9806)
Номер опубликования: 4001202008110008
Дата опубликования: 11.08.2020
Страница №3 из 5:
Увеличить