Приказ Управления по охране объектов культурного наследия Калужской области от 20.07.2020 № 169
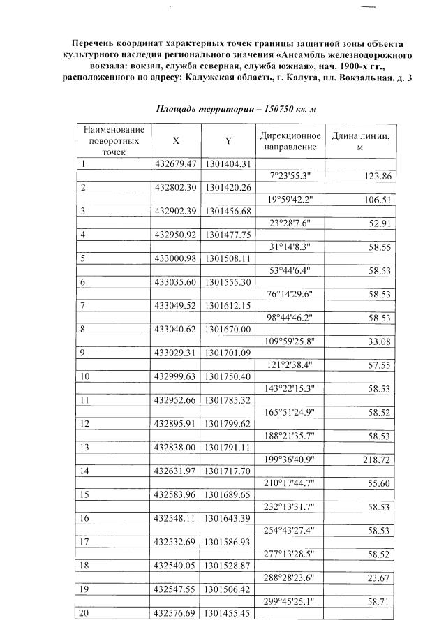
"Об утверждении графического описания местоположения границы и режима использования земель в границе защитной зоны объекта культурного наследия регионального значения "Ансамбль железнодорожного вокзала: вокзал, служба северная, служба южная", нач. 1900-х гг., расположенного по адресу: Калужская область, г. Калуга, пл. Вокзальная, д. 3"
(Зарегистрирован 07.08.2020 № 9812)
"Об утверждении графического описания местоположения границы и режима использования земель в границе защитной зоны объекта культурного наследия регионального значения "Ансамбль железнодорожного вокзала: вокзал, служба северная, служба южная", нач. 1900-х гг., расположенного по адресу: Калужская область, г. Калуга, пл. Вокзальная, д. 3"
(Зарегистрирован 07.08.2020 № 9812)
Номер опубликования: 4001202008110007
Дата опубликования:
11.08.2020
