Официальное опубликование правовых актов
ОФИЦИАЛЬНОЕ ОПУБЛИКОВАНИЕ
Приказ Управления по охране объектов культурного наследия Калужской области от 02.07.2020 № 146
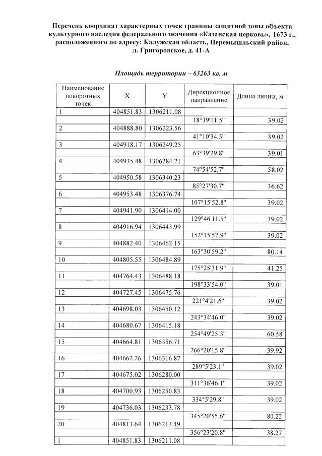
"Об утверждении графического описания местоположения границы и режима использования земель в границе защитной зоны объекта культурного наследия федерального значения "Казанская церковь", 1673 г., расположенного по адресу:Калужская область, Перемышльский район, д. Григоровское, д. 41-А"
(Зарегистрирован 13.07.2020 № 9732)
Номер опубликования: 4001202007200017
Дата опубликования: 20.07.2020
Страница №3 из 4:
Увеличить