Официальное опубликование правовых актов
ОФИЦИАЛЬНОЕ ОПУБЛИКОВАНИЕ
Приказ Управления по охране объектов культурного наследия Калужской области от 29.06.2020 № 140
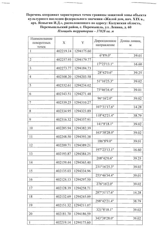
"Об утверждении графического описания местоположения границы и режима использования земель в границе защитной зоны объекта культурного наследия федерального значения "Жилой дом, нач. XIX в., арх. Ясныгин И.Д.", расположенного по адресу: Калужская область, Перемышльский район, с. Перемышль, ул. Ленина, д. 60"
(Зарегистрирован 13.07.2020 № 9737)
Номер опубликования: 4001202007200012
Дата опубликования: 20.07.2020
Страница №3 из 4:
Увеличить