Официальное опубликование правовых актов
ОФИЦИАЛЬНОЕ ОПУБЛИКОВАНИЕ
Приказ Министерства экономического развития Калужской области от 06.04.2020 № 638-п
"Об установлении публичного сервитута"
(Зарегистрирован 06.05.2020 № 9613)
Номер опубликования: 4001202005080001
Дата опубликования: 08.05.2020
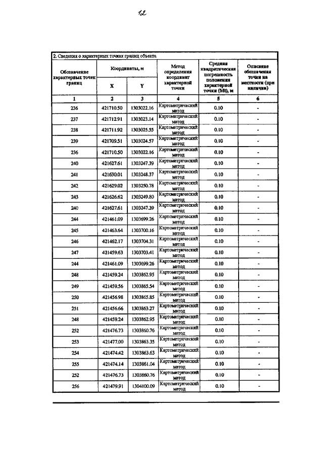
Страница №14 из 38:
Увеличить