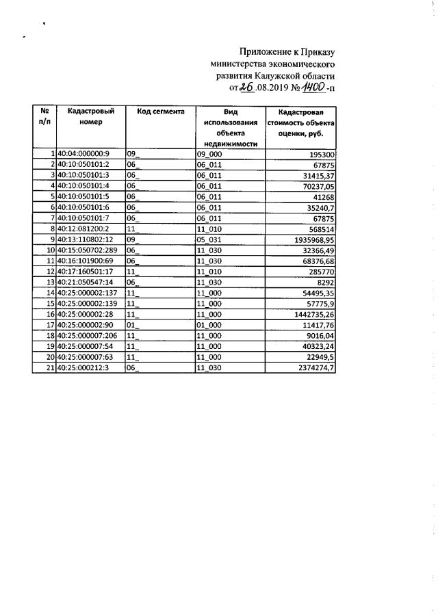
Приказ Министерства экономического развития Калужской области от 26.08.2019 № 1400-п
"Об утверждении результатов определения кадастровой стоимости земельных участков из состава земель водного фонда на территории Калужской области"
(Зарегистрирован 11.09.2019 № 8851)
"Об утверждении результатов определения кадастровой стоимости земельных участков из состава земель водного фонда на территории Калужской области"
(Зарегистрирован 11.09.2019 № 8851)
Номер опубликования: 4001201909130005
Дата опубликования:
13.09.2019
