Официальное опубликование правовых актов
ОФИЦИАЛЬНОЕ ОПУБЛИКОВАНИЕ
Приказ Министерства строительства и жилищно-коммунального хозяйства Калужской области от 28.06.2019 № 235
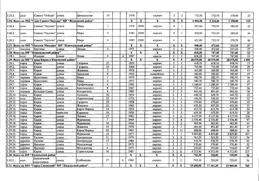
"О внесении изменений в приказ министерства строительства и жилищно-коммунального хозяйства Калужской области от 17.11.2016 № 576 "Об утверждении краткосрочного плана реализации региональной программы капитального ремонта общего имущества в многоквартирных домах Калужской области на 2017 - 2019 годы" (в редакции приказов министерства строительства и жилищно-коммунального хозяйства Калужской области от 20.02.2018 № 47, от 10.08.2018 № 293, от 06.09.2018 № 334, от 28.09.2018 № 362, от 27.12.2018 № 507)"
(Зарегистрирован 19.07.2019 № 8776)
Номер опубликования: 4001201907250004
Дата опубликования: 25.07.2019
Страница №9 из 61:
Увеличить