Официальное опубликование правовых актов
ОФИЦИАЛЬНОЕ ОПУБЛИКОВАНИЕ
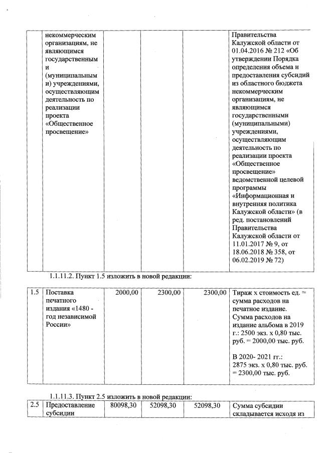
Приказ Министерства внутренней политики и массовых коммуникаций Калужской области от 22.03.2019 № 26-од "О внесении изменений в приказ министерства внутренней политики и массовых коммуникаций Калужской области от 06.08.2018 № 58-од "Об утверждении ведомственной целевой программы "Информационная и внутренняя политика Калужской области" (в редакции приказа министерства внутренней политики и массовых коммуникаций Калужской области от 24.01.2019 № 11-од)"
(Зарегистрирован 09.04.2019 № 8585)
Номер опубликования: 4001201904110002
Дата опубликования: 11.04.2019
Страница №6 из 10:
Увеличить