Официальное опубликование правовых актов
ОФИЦИАЛЬНОЕ ОПУБЛИКОВАНИЕ
Приказ Управления по охране объектов культурного наследия Калужской области от 12.03.2019 № 34
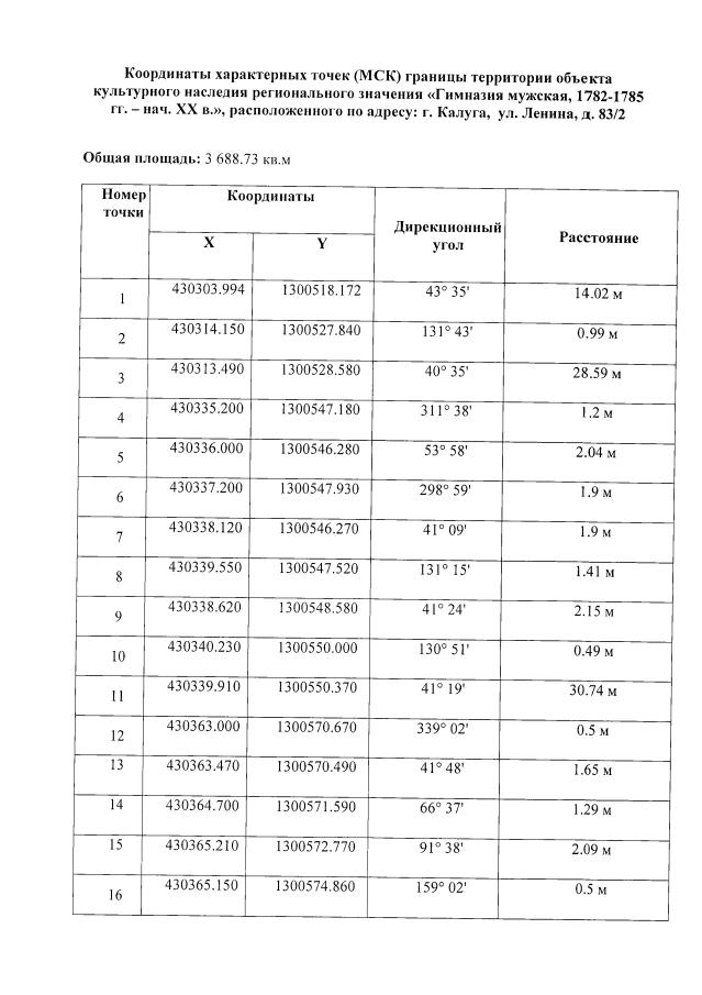
"Об утверждении границ и режима использования территории объекта культурного наследия регионального значения "Гимназия мужская, 1782-1785 гг. – нач. XX в.", расположенного по адресу: г. Калуга, ул. Ленина, д. 83/2"
(Зарегистрирован 22.03.2019 № 8542)
Номер опубликования: 4001201903290002
Дата опубликования: 29.03.2019
Страница №3 из 8:
Увеличить