Официальное опубликование правовых актов
ОФИЦИАЛЬНОЕ ОПУБЛИКОВАНИЕ
Приказ Управления по охране объектов культурного наследия Калужской области от 10.12.2018 № 414
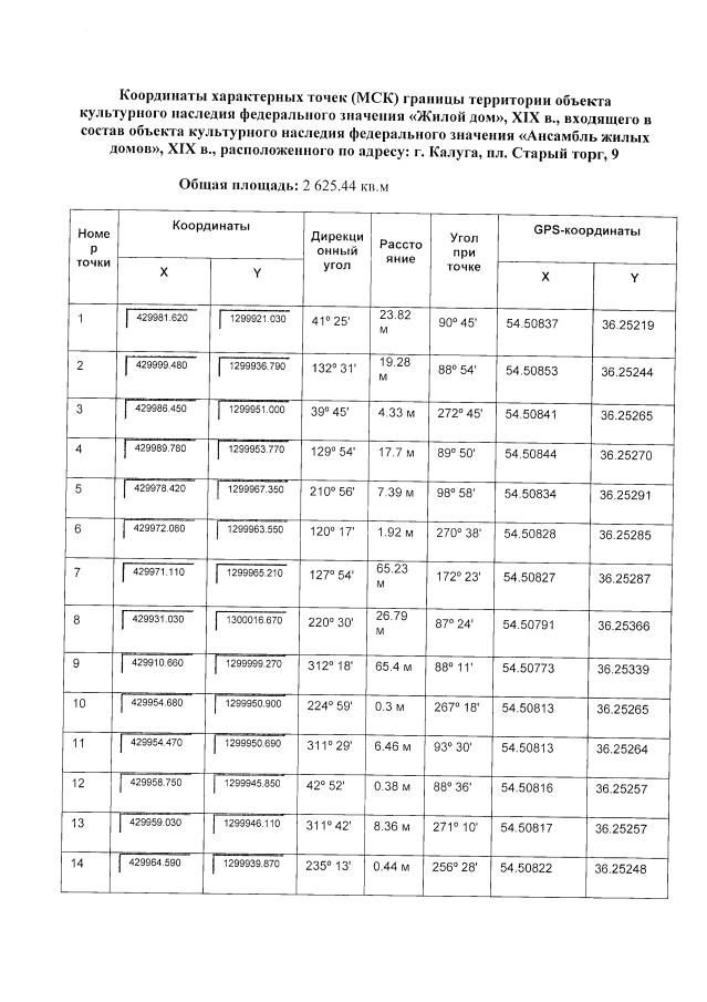
"Об утверждении границ и режима использования территории объекта культурного наследия федерального значения "Жилой дом", XIX в., входящего в состав объекта культурного наследия федерального значения "Ансамбль жилых домов", XIX в., расположенного по адресу: г. Калуга, пл. Старый торг, 9"
(Зарегистрирован 18.12.2018 № 8207)
Номер опубликования: 4001201812270016
Дата опубликования: 27.12.2018
Страница №3 из 7:
Увеличить