Официальное опубликование правовых актов
ОФИЦИАЛЬНОЕ ОПУБЛИКОВАНИЕ
Приказ Управления по охране объектов культурного наследия Калужской области от 12.09.2018 № 255
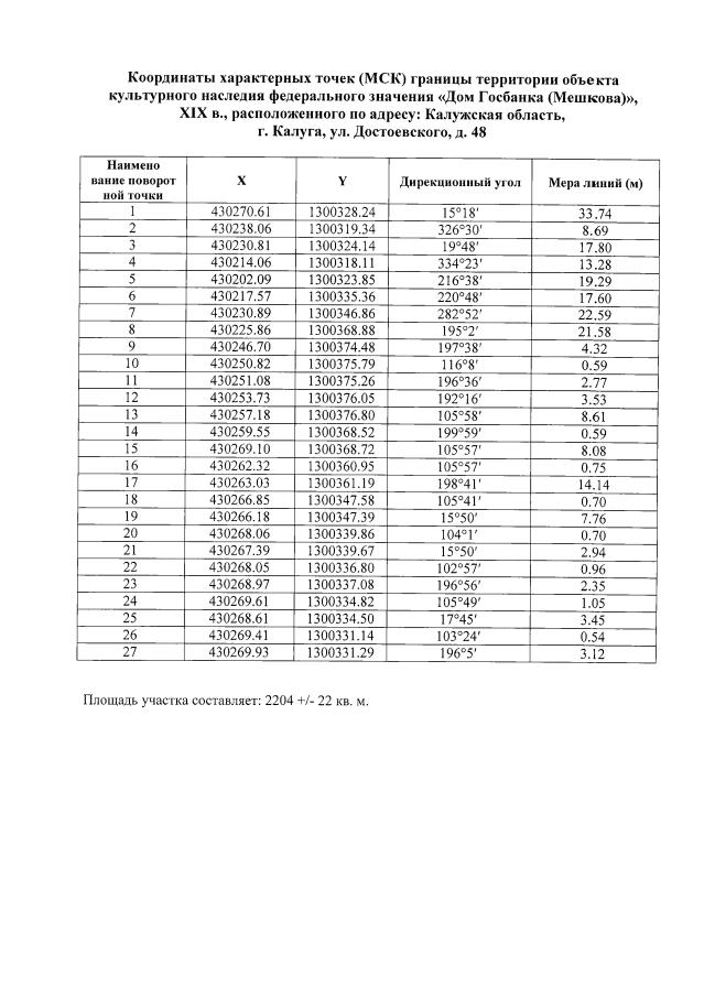
"Об утверждении границ и режима использования территории объекта культурного наследия федерального значения "Дом Госбанка (Мешкова)", XIX в., расположенного по адресу: Калужская область, г. Калуга, ул. Достоевского, д. 48"
(Зарегистрирован 24.09.2018 № 7892)
Номер опубликования: 4001201810010007
Дата опубликования: 01.10.2018
Страница №3 из 6:
Увеличить