Официальное опубликование правовых актов
ОФИЦИАЛЬНОЕ ОПУБЛИКОВАНИЕ
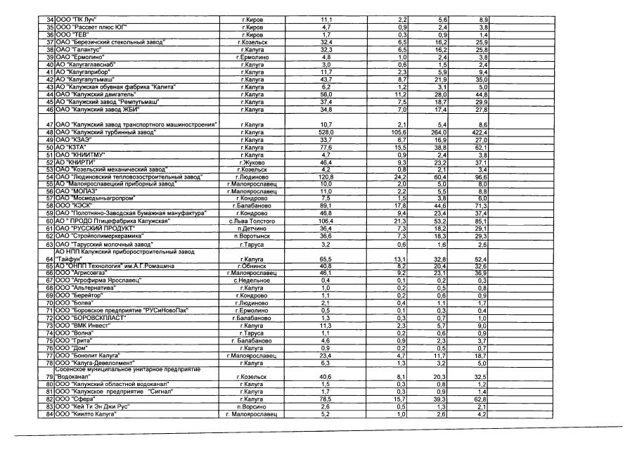
Приказ Министерства строительства и жилищно-коммунального хозяйства Калужской области от 13.09.2018 № 339 "Об утверждении графика перевода потребителей Калужской области на резервные виды топлива при похолоданиях на IV квартал 2018 года и графика аварийного газоснабжения на IV квартал 2018 года"
(Зарегистрирован 24.09.2018 № 7900)
Номер опубликования: 4001201810010004
Дата опубликования: 01.10.2018
Страница №9 из 12:
Увеличить