Приказ Управления по охране объектов культурного наследия Калужской области от 01.08.2018 № 189
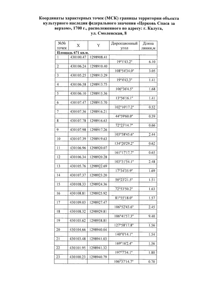
"Об утверждении границ и режима использования территории объекта культурного наследия федерального значения "Церковь Спаса за верхом", 1700 г., расположенного по адресу: г. Калуга, ул. Смоленская, 8"
(Зарегистрирован 17.08.2018 № 7800)
"Об утверждении границ и режима использования территории объекта культурного наследия федерального значения "Церковь Спаса за верхом", 1700 г., расположенного по адресу: г. Калуга, ул. Смоленская, 8"
(Зарегистрирован 17.08.2018 № 7800)
Номер опубликования: 4001201808230009
Дата опубликования:
23.08.2018
