Приказ Министерства экономического развития Калужской области от 21.12.2017 № 1589-п
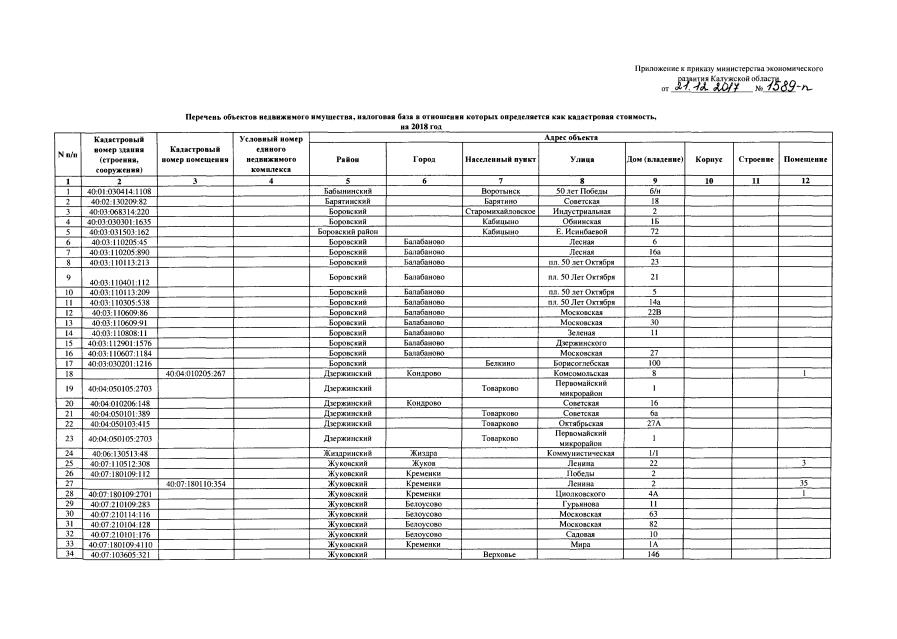
"Об определении перечня объектов недвижимого имущества, налоговая база в отношении которых определяется как кадастровая стоимость, на 2018 год"
"Об определении перечня объектов недвижимого имущества, налоговая база в отношении которых определяется как кадастровая стоимость, на 2018 год"
Номер опубликования: 4001201712220003
Дата опубликования:
22.12.2017
