Официальное опубликование правовых актов
ОФИЦИАЛЬНОЕ ОПУБЛИКОВАНИЕ
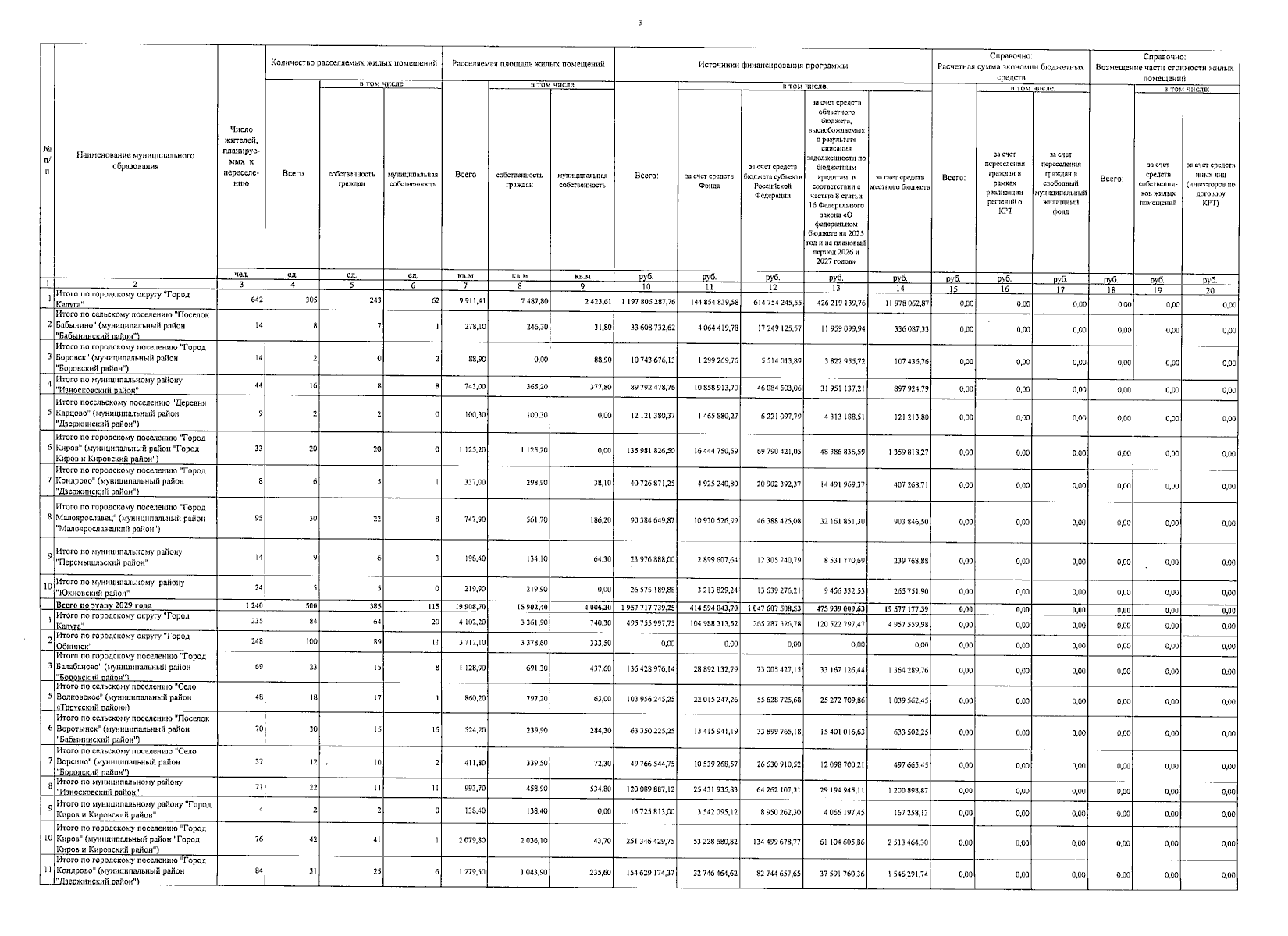
Постановление Правительства Калужской области от 22.07.2025 № 453
"О внесении изменений в постановление Правительства Калужской области от 29.01.2025 № 55 "Об утверждении региональной адресной программы по переселению граждан из аварийного жилищного фонда на территории муниципальных образований Калужской области на 2025-2030 годы" (в ред. постановления Правительства Калужской области от 07.04.2025 № 258)"
Номер опубликования: 4000202507250004
Дата опубликования: 25.07.2025
Страница №11 из 15:
Увеличить