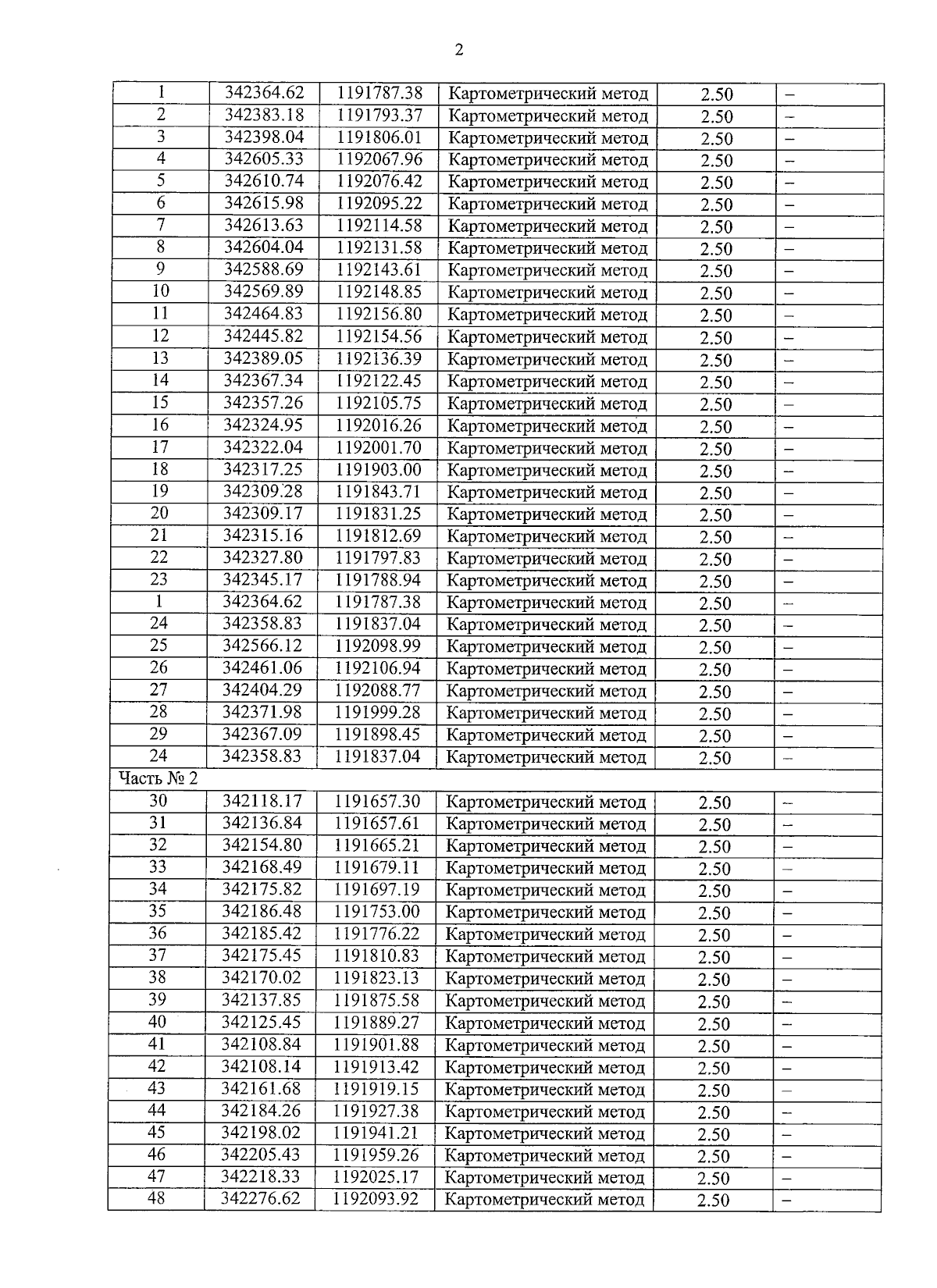
Постановление Губернатора Калужской области от 03.07.2025 № 332
"Об установлении охранной зоны особо охраняемой природной территории регионального значения – памятника природы "Урочище "Знаменская горка"
"Об установлении охранной зоны особо охраняемой природной территории регионального значения – памятника природы "Урочище "Знаменская горка"
Номер опубликования: 4000202507100002
Дата опубликования:
10.07.2025
