Официальное опубликование правовых актов
ОФИЦИАЛЬНОЕ ОПУБЛИКОВАНИЕ
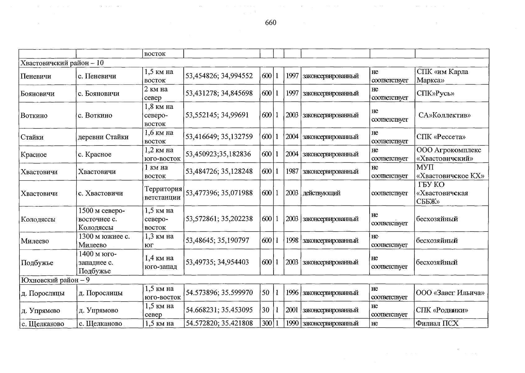
Постановление Правительства Калужской области от 11.06.2025 № 373
"О внесении изменения в постановление Правительства Калужской области от 10.03.2009 № 65 "Об утверждении схемы территориального планирования Калужской области" (в ред. постановлений Правительства Калужской области от 20.09.2012 № 470, от 26.12.2014 № 791, от 17.09.2020 № 735, от 02.09.2022 № 669)"
Номер опубликования: 4000202506170002
Дата опубликования: 17.06.2025
Страница №663 из 673:
Увеличить