Официальное опубликование правовых актов
ОФИЦИАЛЬНОЕ ОПУБЛИКОВАНИЕ
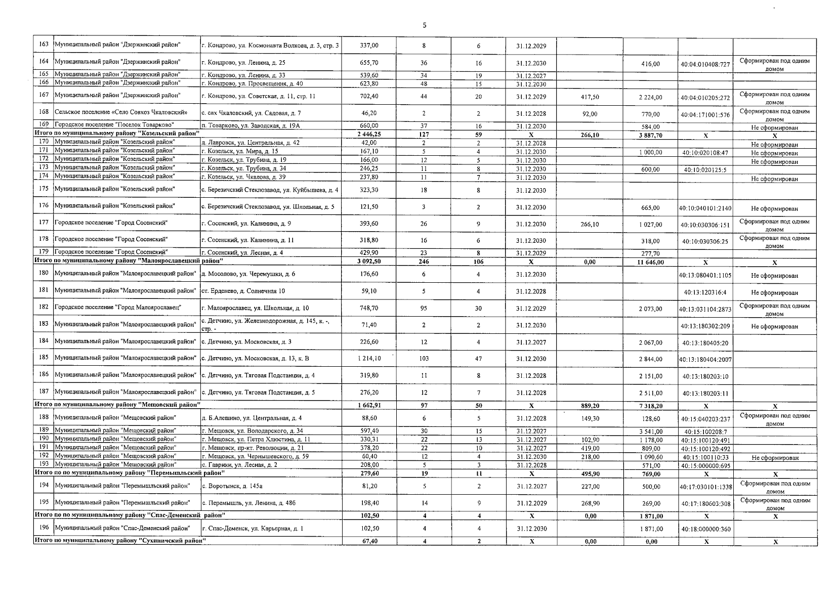
Постановление Правительства Калужской области от 07.04.2025 № 258
"О внесении изменений в постановление Правительства Калужской области от 29.01.2025 № 55 "Об утверждении региональной адресной программы по переселению граждан из аварийного жилищного фонда на территории муниципальных образований Калужской области на 2025 - 2030 годы"
Номер опубликования: 4000202504090001
Дата опубликования: 09.04.2025
Страница №8 из 18:
Увеличить