Официальное опубликование правовых актов
ОФИЦИАЛЬНОЕ ОПУБЛИКОВАНИЕ
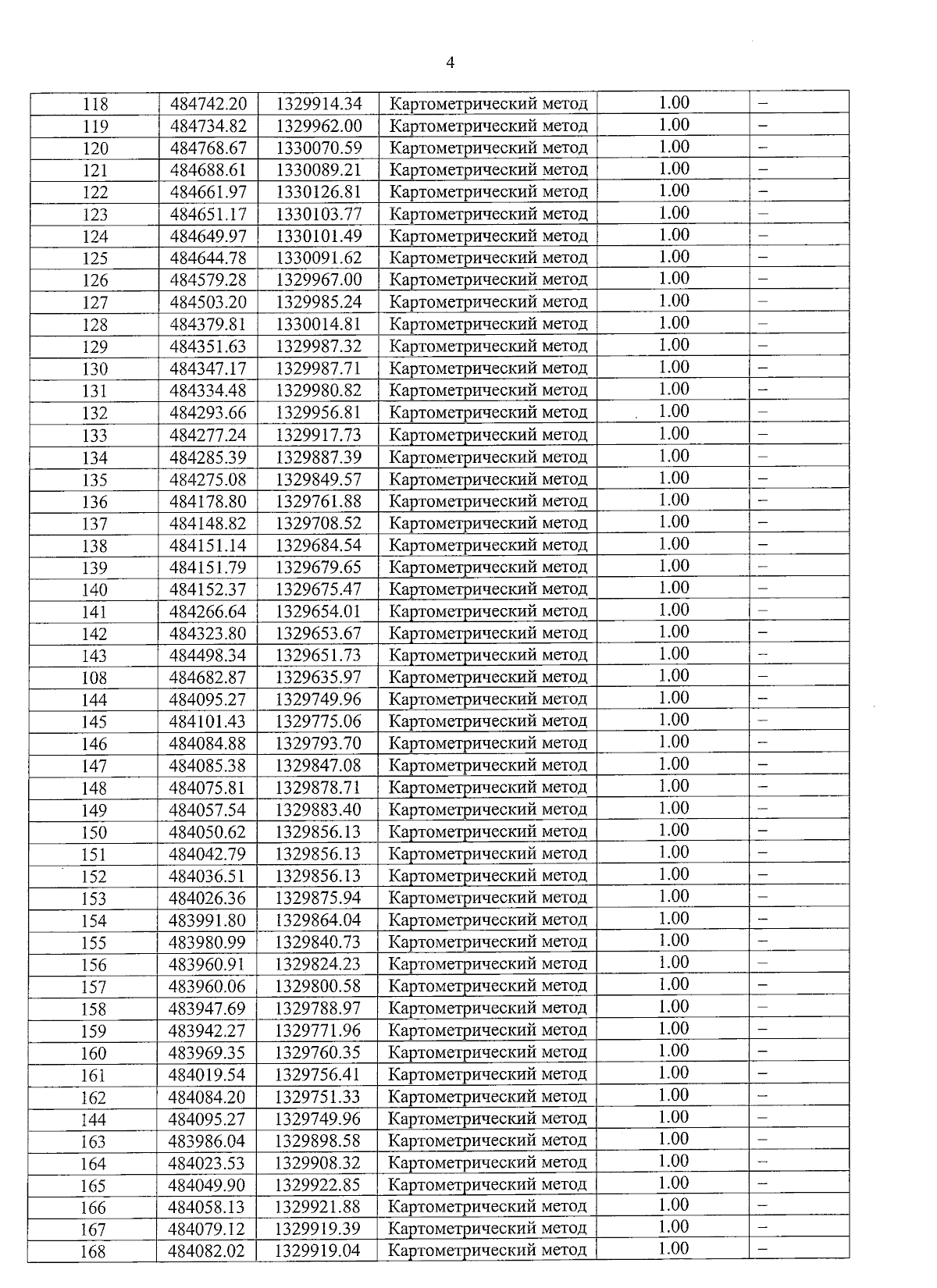
Постановление Губернатора Калужской области от 14.03.2025 № 125
"Об охранной зоне особо охраняемой природной территории регионального значения – памятника природы "Урочище "Михалевы горы"
Номер опубликования: 4000202503170001
Дата опубликования: 17.03.2025
Страница №5 из 8:
Увеличить