Официальное опубликование правовых актов
ОФИЦИАЛЬНОЕ ОПУБЛИКОВАНИЕ
Постановление Правительства Калужской области от 05.03.2025 № 173
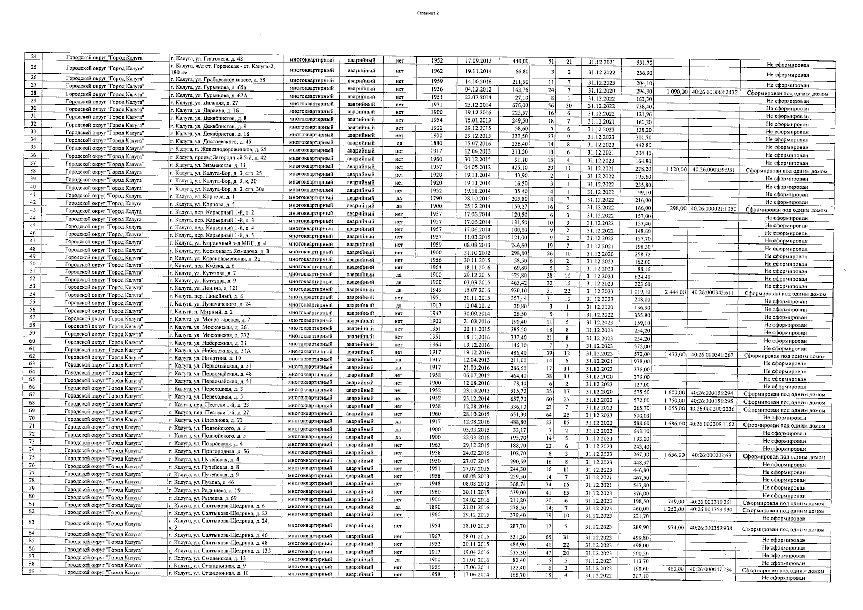
"Об изменениях в информацию по итогам выполнения региональной адресной программы по переселению граждан из аварийного жилищного фонда на территории муниципальных образований Калужской области на 2019 - 2025 годы"
Номер опубликования: 4000202503100012
Дата опубликования: 10.03.2025
Страница №5 из 15:
Увеличить