Официальное опубликование правовых актов
ОФИЦИАЛЬНОЕ ОПУБЛИКОВАНИЕ
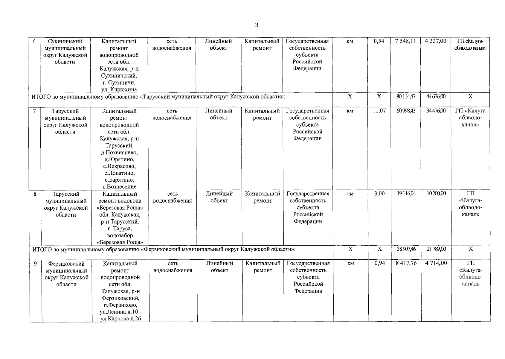
Постановление Правительства Калужской области от 24.02.2025 № 157
"О внесении изменений в постановление Правительства Калужской области от 19.05.2023 № 327 "Об утверждении региональной программы Калужской области "Модернизация систем коммунальной инфраструктуры в Калужской области" (в ред. постановлений Правительства Калужской области от 15.11.2023 № 772, от 15.12.2023 № 849, от 18.12.2024 № 781)"
Номер опубликования: 4000202502270019
Дата опубликования: 27.02.2025
Страница №8 из 42:
Увеличить