Постановление Правительства Калужской области от 31.01.2025 № 63
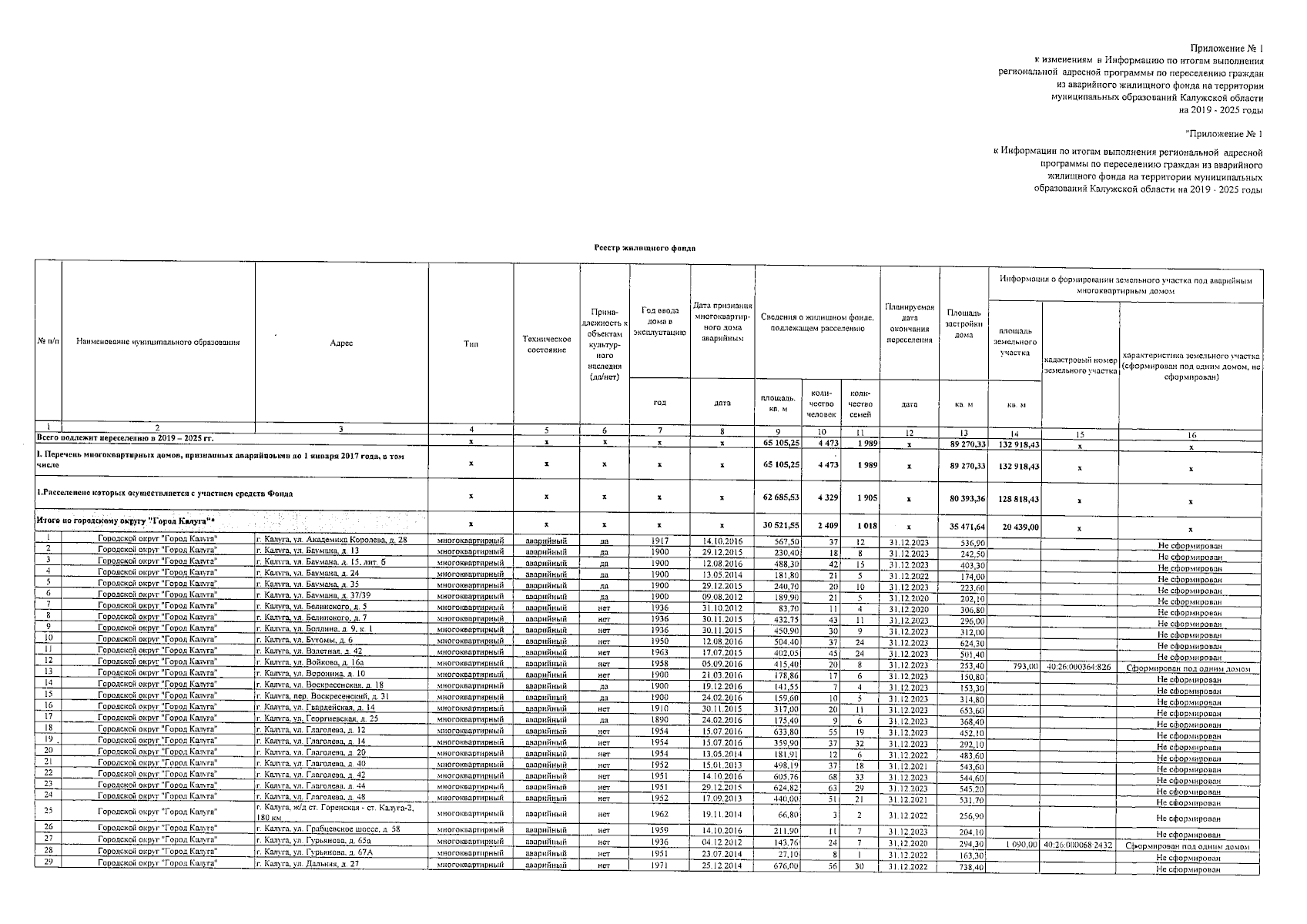
"Об изменениях в Информацию по итогам выполнения региональной адресной программы по переселению граждан из аварийного жилищного фонда на территории муниципальных образований Калужской области на 2019 - 2025 годы"
"Об изменениях в Информацию по итогам выполнения региональной адресной программы по переселению граждан из аварийного жилищного фонда на территории муниципальных образований Калужской области на 2019 - 2025 годы"
Номер опубликования: 4000202502050002
Дата опубликования:
05.02.2025
