Официальное опубликование правовых актов
ОФИЦИАЛЬНОЕ ОПУБЛИКОВАНИЕ
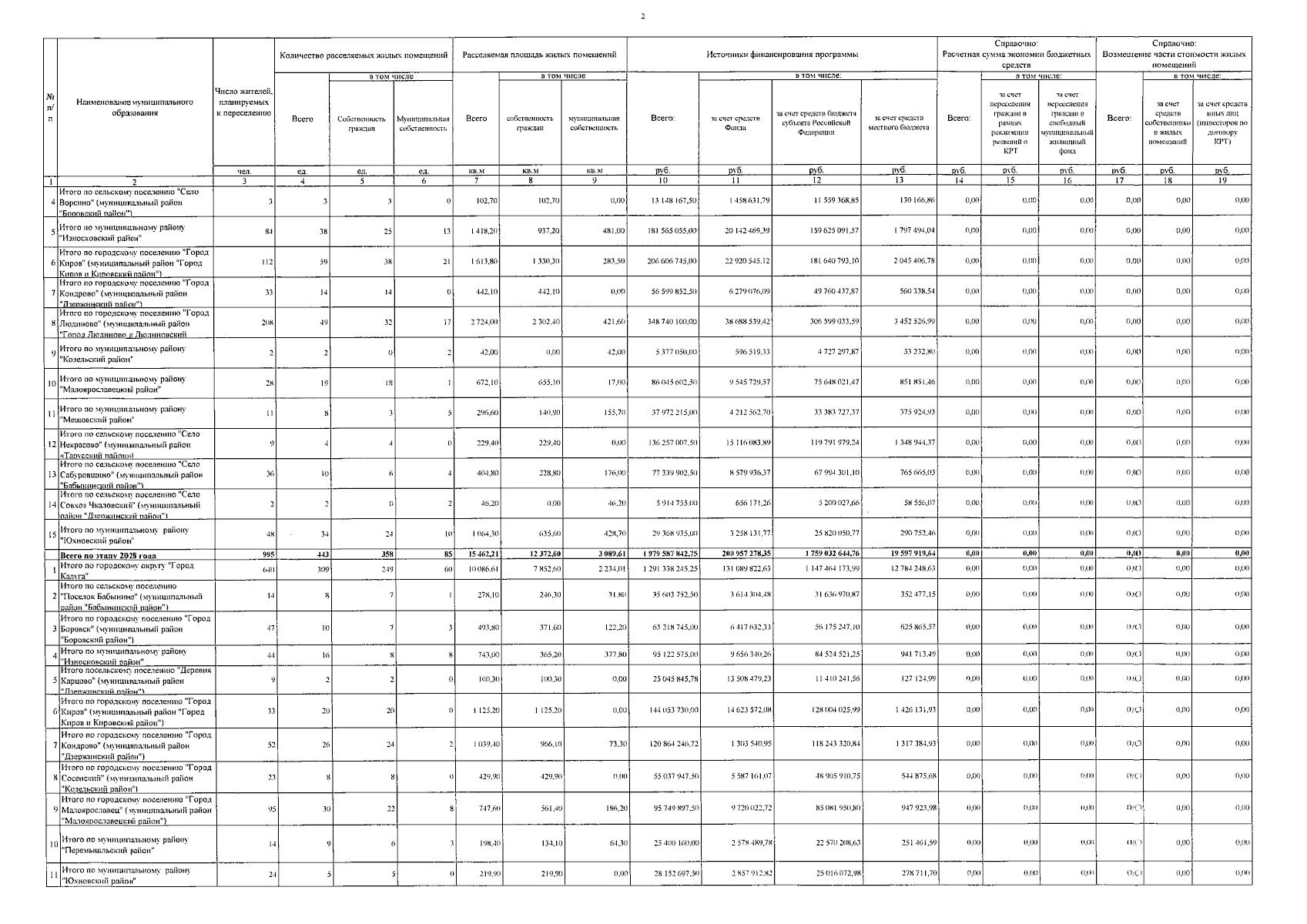
Постановление Правительства Калужской области от 29.01.2025 № 55
"Об утверждении региональной адресной программы по переселению граждан из аварийного жилищного фонда на территории муниципальных образований Калужской области на 2025 - 2030 годы"
Номер опубликования: 4000202502040014
Дата опубликования: 04.02.2025
Страница №23 из 32:
Увеличить