Официальное опубликование правовых актов
ОФИЦИАЛЬНОЕ ОПУБЛИКОВАНИЕ
Постановление Правительства Калужской области от 15.01.2025 № 28
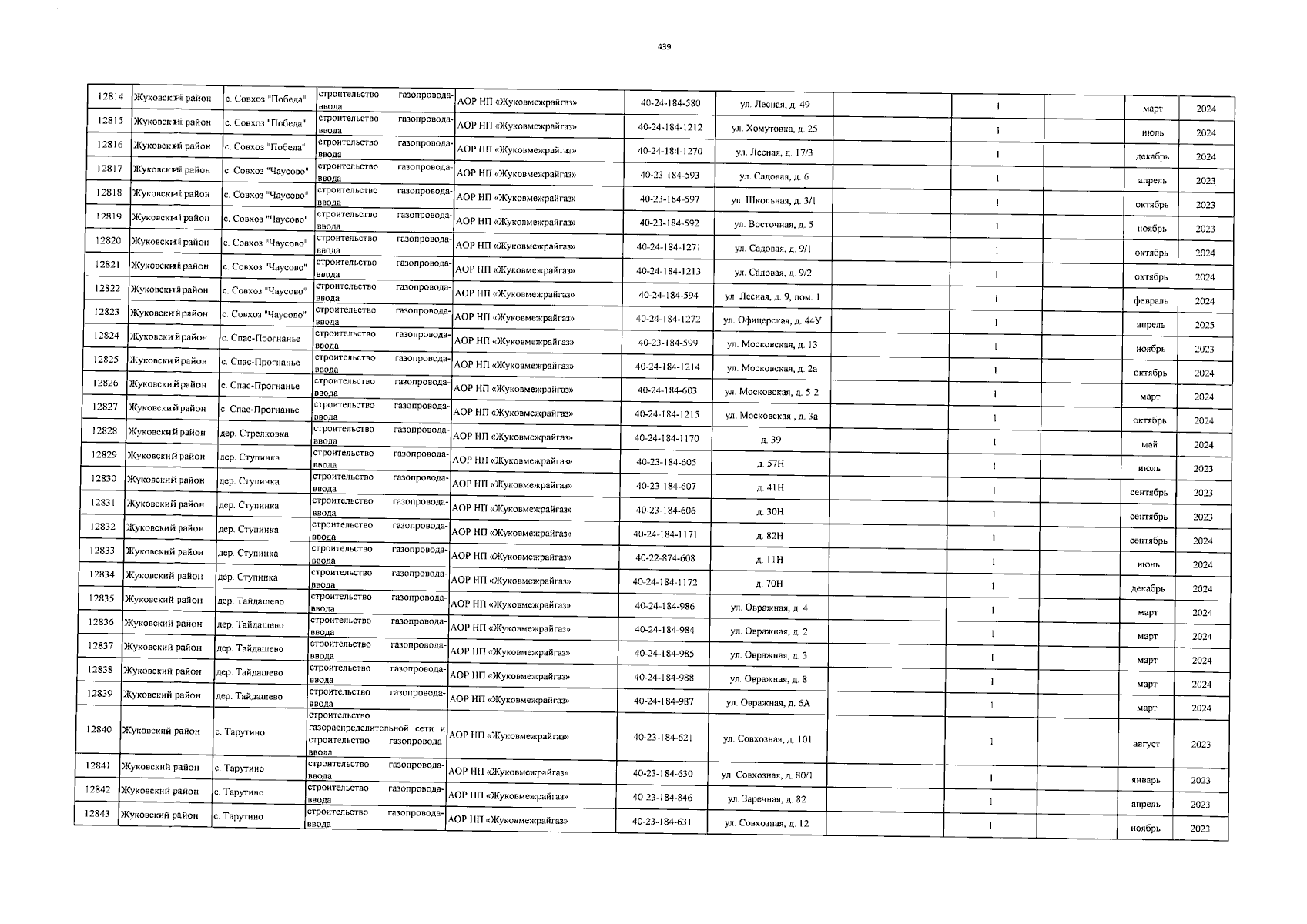
"О внесении изменений в постановление Правительства Калужской области от 22.03.2018 № 172 "Об утверждении региональной программы газификации жилищно-коммунального хозяйства, промышленных и иных организаций Калужской области на 2023 - 2032 годы" (в ред. постановлений Правительства Калужской области от 30.11.2018 № 728, от 29.11.2019 № 758, от 29.07.2020 № 582, от 24.11.2020 № 884, от 30.08.2021 № 567, от 07.12.2021 № 847, от 20.05.2022 № 360, от 21.11.2022 № 903, от 22.12.2022 № 1000, от 25.01.2023 № 47, от 06.04.2023 № 249, от 12.07.2023 № 496, от 19.09.2023 № 666, от 25.12.2023 № 901, от 19.01.2024 № 63, от 02.05.2024 № 274, от 05.08.2024 № 470, от 04.09.2024 № 532, от 12.12.2024 № 768)"
Номер опубликования: 4000202501210010
Дата опубликования: 21.01.2025
Страница №627 из 759:
Увеличить