Официальное опубликование правовых актов
ОФИЦИАЛЬНОЕ ОПУБЛИКОВАНИЕ
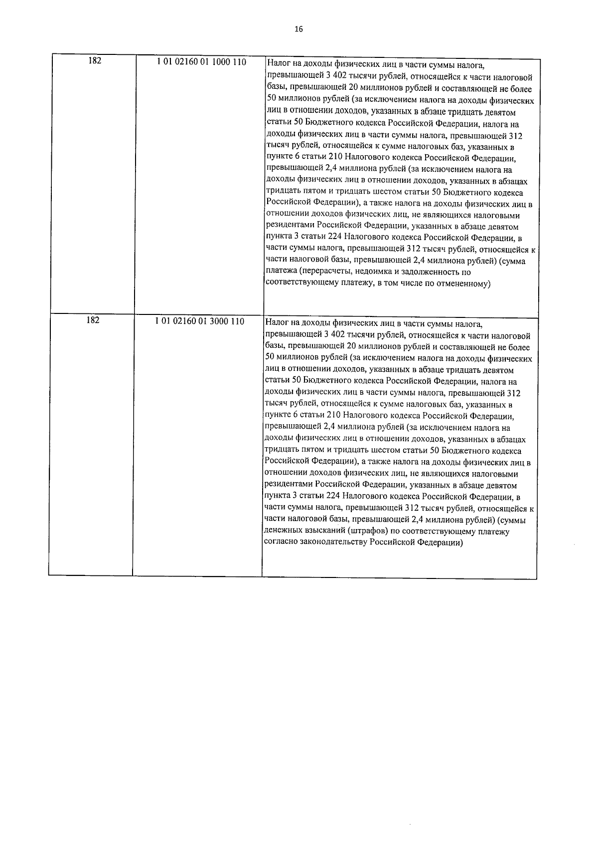
Постановление Правительства Калужской области от 23.12.2024 № 794
"О внесении изменения в постановление Правительства Калужской области от 23.12.2021 № 923 "Об утверждении перечня главных администраторов доходов областного бюджета, порядка и сроков внесения изменений в перечень главных администраторов доходов областного бюджета (в ред. постановлений Правительства Калужской области от 30.12.2022 № 1040, от 09.01.2024 № 12)"
Номер опубликования: 4000202412250001
Дата опубликования: 25.12.2024
Страница №17 из 74:
Увеличить