Официальное опубликование правовых актов
ОФИЦИАЛЬНОЕ ОПУБЛИКОВАНИЕ
Постановление Губернатора Калужской области от 25.07.2024 № 414
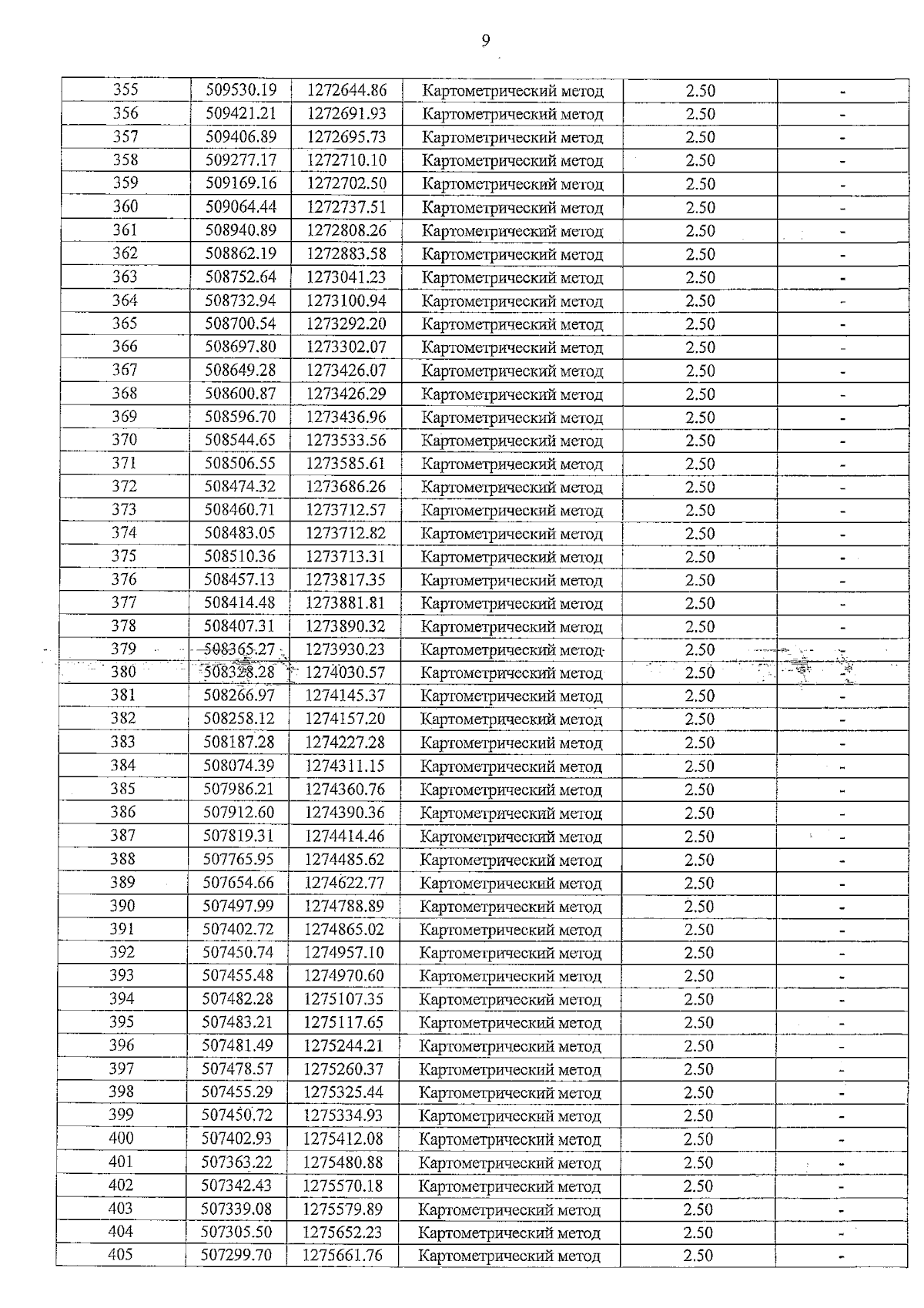
"Об установлении охранной зоны особо охраняемой природной территории регионального значения - памятника природы "Р. Бычок с охранным ландшафтом на расстоянии 300 м в обе стороны от уреза воды"
Номер опубликования: 4000202407250008
Дата опубликования: 25.07.2024
Страница №11 из 19:
Увеличить