Постановление Губернатора Калужской области от 10.07.2024 № 376
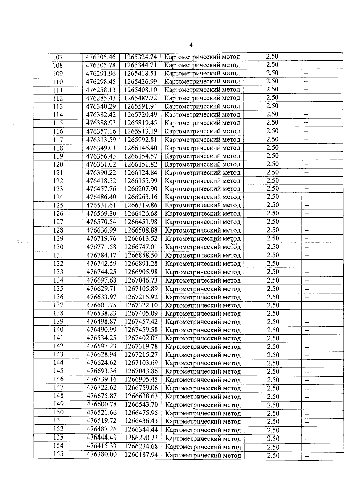
"Об установлении охранной зоны особо охраняемой природной территории регионального значения – памятника природы "Р. Городенка с охранным ландшафтом на расстоянии 250 м в обе стороны от уреза воды"
"Об установлении охранной зоны особо охраняемой природной территории регионального значения – памятника природы "Р. Городенка с охранным ландшафтом на расстоянии 250 м в обе стороны от уреза воды"
Номер опубликования: 4000202407120003
Дата опубликования:
12.07.2024
