Постановление Губернатора Калужской области от 28.03.2024 № 171
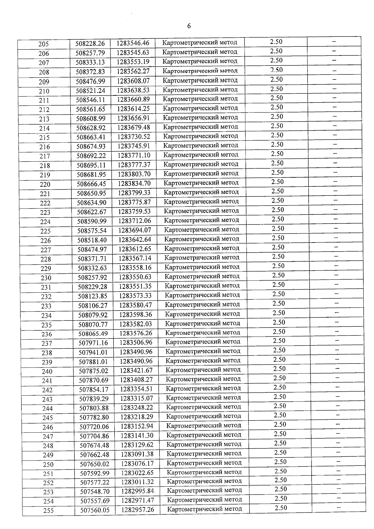
"Об установлении охранной зоны особо охраняемой природной территории регионального значения – памятника природы "Р. Руть с охранным ландшафтом на расстоянии по 300 м в обе стороны от уреза воды"
"Об установлении охранной зоны особо охраняемой природной территории регионального значения – памятника природы "Р. Руть с охранным ландшафтом на расстоянии по 300 м в обе стороны от уреза воды"
Номер опубликования: 4000202404030023
Дата опубликования:
03.04.2024
