Официальное опубликование правовых актов
ОФИЦИАЛЬНОЕ ОПУБЛИКОВАНИЕ
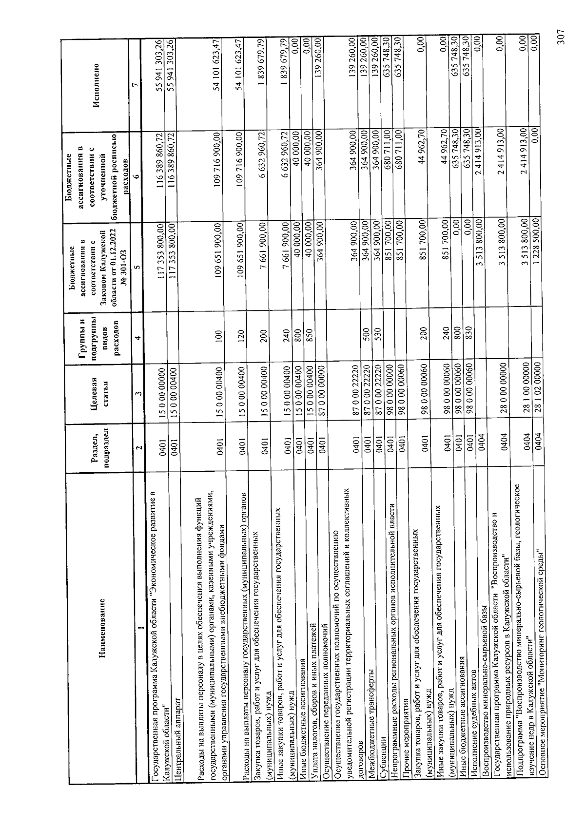
Постановление Правительства Калужской области от 30.08.2023 № 615
"Об отчете об исполнении областного бюджета за первое полугодие 2023 года"
Номер опубликования: 4000202308310007
Дата опубликования: 31.08.2023
Страница №308 из 867:
Увеличить