Официальное опубликование правовых актов
ОФИЦИАЛЬНОЕ ОПУБЛИКОВАНИЕ
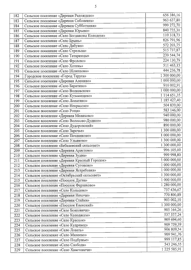
Постановление Правительства Калужской области от 29.03.2022 № 223
"Об утверждении распределения субсидий между муниципальными образованиями Калужской области на реализацию инициативных проектов на 2022 год"
Номер опубликования: 4000202204010007
Дата опубликования: 01.04.2022
Страница №6 из 7:
Увеличить