Официальное опубликование правовых актов
ОФИЦИАЛЬНОЕ ОПУБЛИКОВАНИЕ
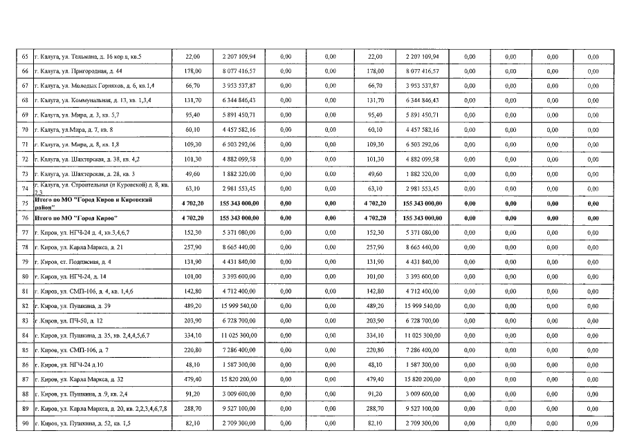
Постановление Правительства Калужской области от 22.10.2021 № 716
"Об информации по итогам выполнения областной адресной программы по переселению граждан из аварийного жилищного фонда на территории муниципальных образований Калужской области на 2013 - 2018 годы"
Номер опубликования: 4000202110270002
Дата опубликования: 27.10.2021
Страница №33 из 72:
Увеличить