Официальное опубликование правовых актов
ОФИЦИАЛЬНОЕ ОПУБЛИКОВАНИЕ
Постановление Правительства Калужской области от 07.04.2021 № 199
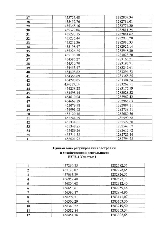
"Об установлении объединенной зоны охраны объектов культурного наследия федерального значения "Усадьба Полотняный завод (Гончаровых), XVIII в." и "Дом Щепочкина с росписью, XIX в.", расположенных в пос. Полотняный Завод Дзержинского района Калужской области, и утверждении требований к градостроительным регламентам в границах территорий данной зоны"
Номер опубликования: 4000202104090005
Дата опубликования: 09.04.2021
Страница №10 из 29:
Увеличить