Официальное опубликование правовых актов
ОФИЦИАЛЬНОЕ ОПУБЛИКОВАНИЕ
Постановление Правительства Калужской области от 12.03.2021 № 121
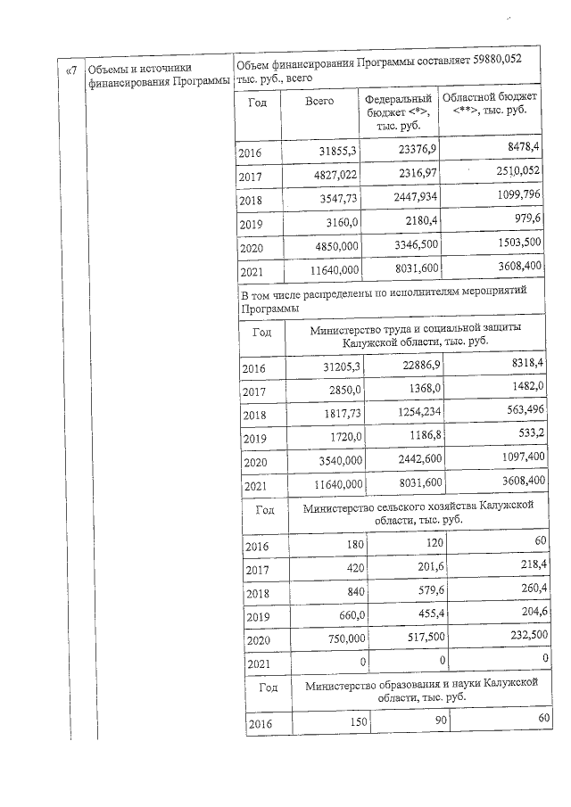
"О внесении изменений в постановление Правительства Калужской области от 15.03.2016 № 167 "Об утверждении государственной программы Калужской области "Оказание содействия добровольному переселению в Калужскую область соотечественников, проживающих за рубежом" (в ред. постановлений Правительства Калужской области от 12.08.2016 № 435, от 21.11.2016 № 627, от 20.03.2017 № 146, от 01.06.2017 № 333, от 26.02.2018 № 119, от 14.03.2019 № 154, от 20.03.2019 № 164, от 18.03.2020 № 206, от 16.12.2020 № 958)"
Номер опубликования: 4000202103160013
Дата опубликования: 16.03.2021
Страница №2 из 12:
Увеличить