Официальное опубликование правовых актов
ОФИЦИАЛЬНОЕ ОПУБЛИКОВАНИЕ
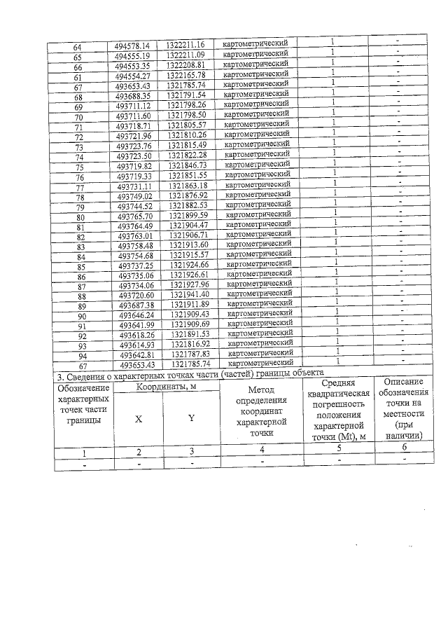
Постановление Правительства Калужской области от 18.11.2020 № 869
"О внесении изменения в постановление Правительства Калужской области от 30.06.2016 № 365 "Об особо охраняемой природной территории регионального значения – памятнике природы "Дача "Бугры"
Номер опубликования: 4000202011200013
Дата опубликования: 20.11.2020
Страница №4 из 7:
Увеличить