Официальное опубликование правовых актов
ОФИЦИАЛЬНОЕ ОПУБЛИКОВАНИЕ
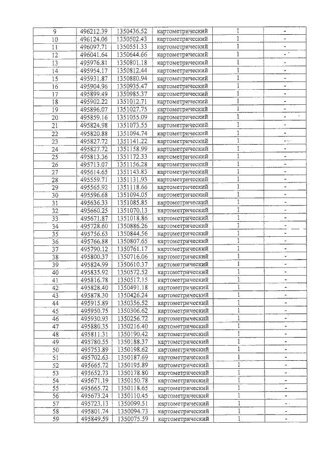
Постановление Правительства Калужской области от 29.07.2020 № 580
"О внесении изменения в постановление Правительства Калужской области от 04.12.2017 № 707 "О реорганизации особо охраняемой природной территории регионального значения – памятника природы "Еловый массив на р. Нара"
Номер опубликования: 4000202007300004
Дата опубликования: 30.07.2020
Страница №3 из 5:
Увеличить